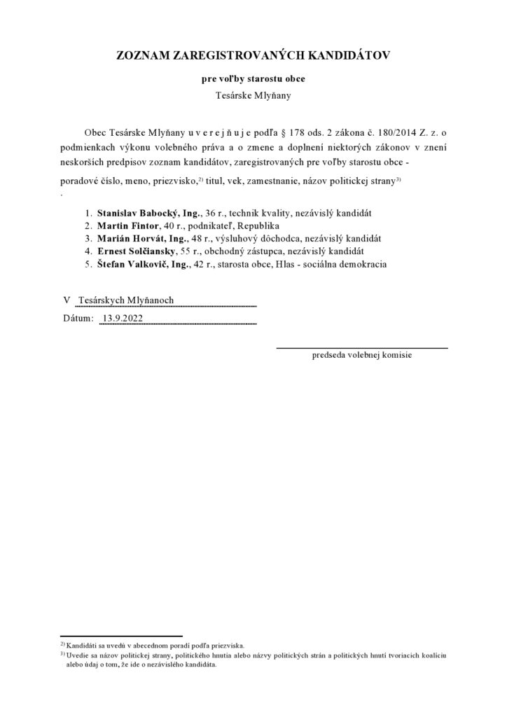
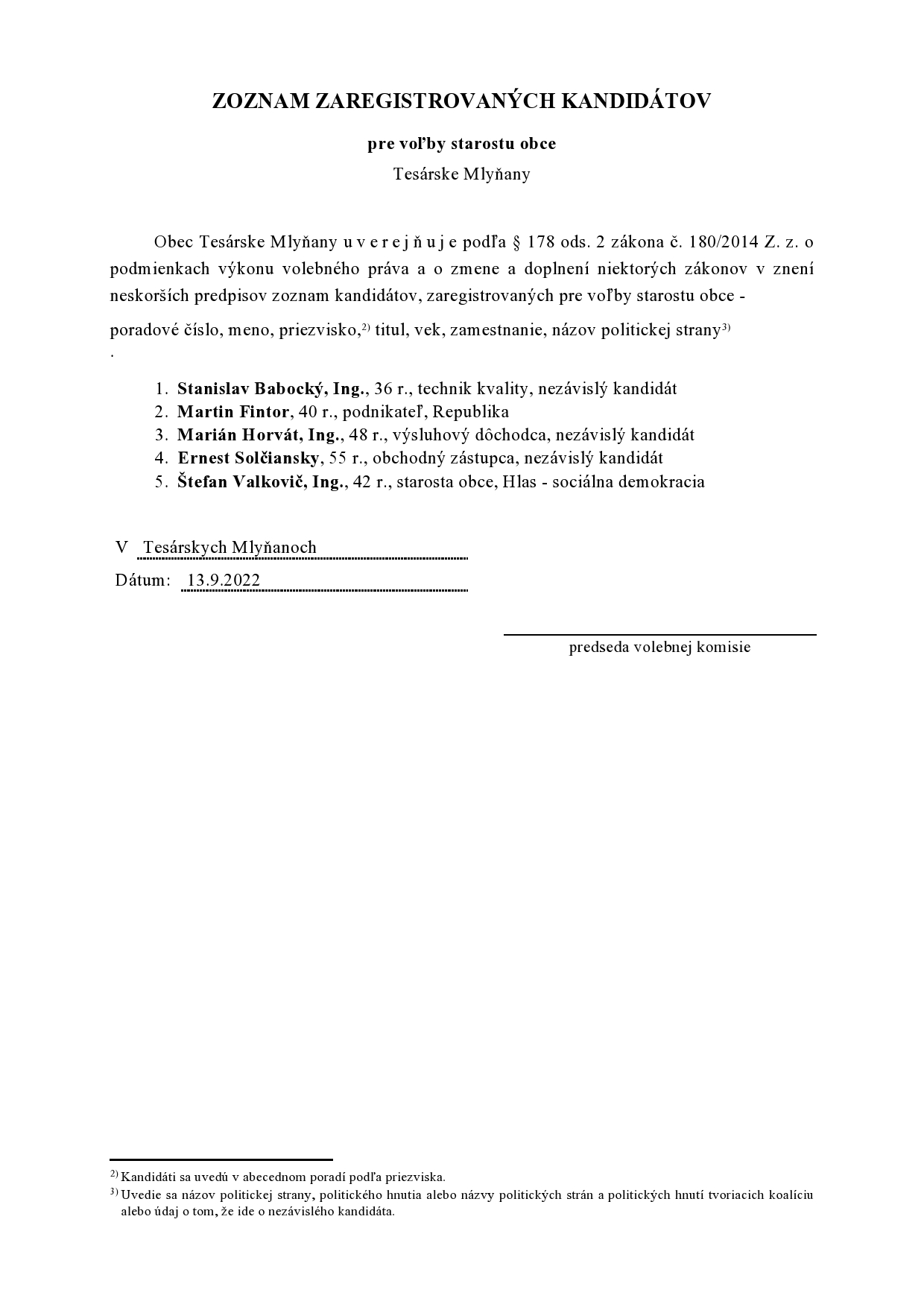
Zoznam zaregistrovaných kandidátov do volieb OSO 2022

Obec Tesárske Mlyňany uverejňuje: